Associate Professor Paul Rymer

Paul Rymer

I am a plant evolutionary ecologist. Growing up in the Blue Mountains, I was inspired by nature and the capacity for plants to not only cope with major disasters (e.g. wildfires and drought) but thrive in their wake with an amazing diversity of forms and functions. I completed my BSc (Honours) at the University of Western Sydney (1999) before graduating from my PhD (Biological Science) at the University of Wollongong (2006). I worked in the UK as a Postdoctoral Researcher at the University of Oxford (2006-2007) and Marie Curie Incoming International Fellowship at the Royal Botanic Gardens Kew and Imperial College London (2007-2009). Returning to Australia to work at the Royal Botanic Gardens Sydney (2009-2010). In 2011, I started at the Hawkesbury Institute for the Environment (WSU) as a Research Lecturer and now continuing as a A/Professor in Ecological Genetics.

Our research provides fundamental insights into biological processes and the foundation for improved management My research employs an interdisciplinary approach from ecology, physiology, and genetics to investigate the factors driving/eroding biodiversity and biological adaptations. I lead an active research group that collaborates broadly, applying state-of-the-art technologies to address fundamental questions in biology, along with real world issues.

.

Environmental Epigenetic Laboratory Overview

Projects

Projects

Members of the Rymer lab have worked predominantly on plants from grasses to tall trees along with their insect associates, focusing on seed eating beetles and pollinating bees. Groups of particular interest, include kangaroo and weeping grass (Themeda, Microleana), wattles and peas (Acacia, Bossiaea, Dillwynia, Pultenaea), Proteaceae (Banksia, Grevillea, Hakea, Persoonia, Telopea) and eucalypts (Angophora, Corymbia, Eucalyptus).

To explore the processes driving and eroding locally adapted populations and new species a combination of approaches is employed.

  • Phylogenetic and comparative analysis
  • Landscape genomic analyses
  • Field surveys along climatic gradients
  • Reciprocal transplant experiments
  • Controlled climate manipulations
  • Molecular and physiological characterisation

Biological adaptations

Nature provides us with an amazing diversity of flowering plants. Inspiring evolutionary biologists from across the centuries as to their origins and biological adaptations. Charles Darwin’s seminal work ‘on the origin of species’ provides the foundations for the study of evolution with the theory of natural selection. Darwin, however, described the rapid diversification of flowering plants as an abominable mystery. The development of DNA sequencing technologies has provided unique insights into the evolution of flowering plants, but diverse clades still challenge the biological species concept with incomplete lineage sorting and hybridization. Our research takes this as an opportunity to explore the process of biological adaptation to abiotic and biotic factors, along with the drivers of speciation.

Eucalypt Phylogenetic

Eucalypts are a diverse system that resulted from a rapid adaptive radiation during the aridification of Australia. Species display a wide range of morphological and genetic diversity therefore presenting as an ideal system for the study of rapid speciation and radiative adaptation. Our research explores (1) the evolution of life-history and climate-origin as determinants of species drought sensitivity in eucalypts; (2) taxonomic and geographic predictors of introgression in boxes / ironbarks, and red gums through whole genome sequencing; and (3) PhyloGWAS approach to determine adaptive genomic variants contributing to functional and physiological traits contributing to drought response.

Anne-Cecile Colin (PhD), Rose Andrew (University of New England), Justin Borevitz (Australian National University), Collin Ahrens (Cesar Australia), and Dean Nicole (Currency Creek Arboretum)

1967075

Eucalypt Drought

Plants have evolved to survive in specific environments with a suite of functional traits associated with performance and survival strategies. Climate change and extreme events are pushing plants to their physiological thresholds threatening biodiversity and functional ecosystems. Focusing on eucalypts, we studied the effect of climate-origin, life-history and functional traits on drought sensitivity after a very dry summer in a eucalypt arboretum with more than 1000 provenances.

Victoria Perez Martinez (PhD), Belinda Medlyn (Western Sydney University), David Tissue (Western Sydney University), Brendan Choat (Western Sydney University), and Dean Nicole (Currency Creek Arboretum)

1967076

Hakea Drought

Extreme drought conditions are affecting plants globally; however we lack empirical data on the physiological tolerance of native species. Using the Proteaceae family, we quantified physiological tolerance to drought to test predictions based on climatic-origin, life history and functional traits (https://doi.org/10.1093/aob/mcab020).

Osazee Oyanoghafo (PhD), David Tissue (Western Sydney University), Brendan Choat (Western Sydney University)

1967077

Urban Adaptation

Urban forests promote resilient and liveable cities by providing several ecosystem and health benefits to the urban dwellers. But ongoing climate change is increasingly threatening urban trees across the globe. It is crucial to identify and select the tree species with greater stress tolerance to facilitate urban trees adaptability and resilience to future climates. We studied growth and functional traits in urban tree in Sydney and Melbourne testing predictions based on species origin and climate niche. Dry origin species showed greater stress tolerance attributes compared to mesic species. Large scale urban forest experiments with 48 tree species growing in irrigated blocks have been established in Hawkesbury (NSW) and Hume (VIC). Glasshouse experiments have been used to investigate the capacity of urban trees to respond to temperature and water availability.

Mohammad Kibria (PhD), Mark Tjoelker (Western Sydney University), Renee Prokopavicius (Western Sydney University), Stefan Arndt (University of Melbourne)

1967078
1967079

Local Adaptation

Local adaptation is a fundamental process in ecology and evolution. Our research investigates the ability of natural organisms to adapt to their local environment employing genomic, physiological and ecological approaches. Unique insights are provided through the intersection of different fields and the synthesis of outcomes.

Landscape Genomics

Our analysis of standing genetic variation across the distribution of jarrah (Eucalyptus marginata) found potential links between putatively adaptive SNPs and climate factors, which may provide a source of adaptation to future climate conditions. The evidence that genetic variants are involved with climate adaptation occurred as either associations with specific annotated gene functions or biological processes associated to climate factors. https://onlinelibrary.wiley.com/doi/pdf/10.1111/mec.16351

João Carlos Filipe (PhD, Murdoch University), Collin Ahrens (Cesar Australia), Margaret Byrne (WA Department for Biodiversity, Conservation and Attractions)

1967080

Genomic Vulnerability

With global climate change shifting and altering temperature and precipitation regimes, the ability of natural forest stands to persist in their local environments are being challenged. The potential to respond is underpinned by adaptive genetic variation to climate, however for many species, particularly long-lived trees, our ability to predict climate vulnerability is limited. We sampled two closely-related red gum Eucalyptus species (E. blak elyi and E. tereticornis) from across their entire Australian range. Strong patterns of adaptation to climate were detected for both red gums, but the importance of climate predictors differed among species. The candidate SNPs are found in key photosynthetic and plant hormone pathways, which may buffer against environmental stressors. However, we identify genomic vulnerability for both species in marginal populations that may require active management in the future.

John Whale (PhD), Collin Ahrens (Cesar Australia), David Tissue (Western Sydney University)

1967081

Acacia Temperature Gradients

Diverse lineages show adaptation to the environment they reside. Exploring adaptation among closely related species and populations along temperature gradients provides critical insights into the ability for persistence under climate change. Acacia has over 1100 species in Australia occurring across all major biomes. We selected topic and temperate species with restricted and widespread distributions along eastern Australia through the application of species distribution models, glasshouse experiments and field transplants. Reciprocal transplant experiments are a powerful way of testing for local adaptation. Here we established seed and seedlings of four Acacia species sourced from low, mid and high elevation sites in the lower and upper Blue Mountains to test for local adaptation and species distribution limits. Species that inhabit ranges restricted to higher, cooler altitudinal zones are more at risk from environmental changes with less ability to outcompete species from warmer provenances.

Katie Rolls (PhD), Mark Tjoelker (Western Sydney University), Linda Beaumont (Macquarie University)

1967083

Adaptive Capacity

The ability for plants to be able to respond to environmental change is critical for the conservation of natural ecosystems and primary production. Our research focuses on understanding the adaptive capacity of plants to drought and heat. In particular, our lab explores the role of genetic variation and phenotypic plasticity in life-history, functional, and physiological traits contributing to enhanced tolerance and persistence under extreme conditions. As such much of the work focuses on Genotype-Environment Interactions quantified through controlled manipulative experiments.

Corymbia Heatwave

The response of trees to sequential moderate and severe heatwave events may be enhanced through a combination of genetic adaptation, physiological plasticity, and the combination of the two. These mechanisms independently provide different relative contributions to explain the variability of each leaf trait and, combined, have important implications for the persistence and function of future forests. Together, these factors indicate that adaptive capacity to tolerate heatwaves is mostly governed by plasticity and the ability to withstand extreme thermal events. However, if future climates do exceed the limits of this adaptive capacity, assisted gene migration strategies should be deployed. https://nph.onlinelibrary.wiley.com/doi/pdf/10.1111/nph.17640

Collin Ahrens (Western Sydney University, Cesar Australia), Anthea Challis (Western Sydney University, Department of Climate Change, Energy, the Environment and Water), Margaret Byrne (WA Department for Biodiversity, Conservation and Attractions), Andrea Leigh (University of Technology Sydney), Adrienne Nicotra (Australian National University), David Tissue (Western Sydney University)

1967084

Corymbia Drought

Tree mortality events in response to extreme weather are likely to become more common under predicted climate projections in Mediterranean-type ecosystems. We found significant intraspecific differences in the time for saplings to desiccate from stomatal closure (Pgs90) to hydraulic failure (P88). These differences in time to hydraulic failure were driven by adaptive plasticity in multiple drought response traits. Drought-associated hydraulic failure is complex, and our study provides evidence for significant G, E and G × E interactions driving trait differences related to drought tolerance and plant desiccation time in an ecologically important tree. https://doi.org/10.1093/treephys/tpab096

Anthea Challis (Western Sydney University, Department of Climate Change, Energy, the Environment and Water), Chris Blackman (University of Tasmania), Collin Ahrens (Western Sydney University, Cesar Australia), Belinda Medlyn (Western Sydney University), David Tissue (Western Sydney University)

1967085

Banksia Drought

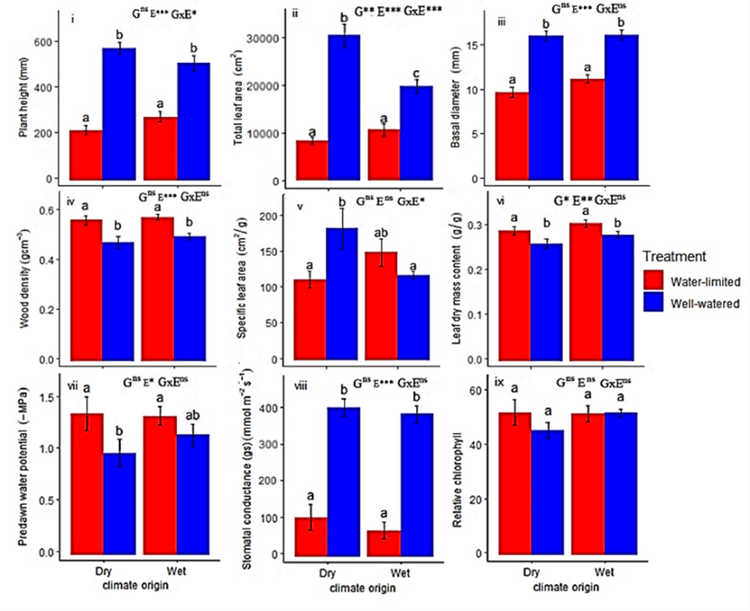
Using water manipulated common garden experiment, we explored contributions of phenotypic integration, plasticity and genetic adaptation to adaptive capacity to drought in Banksia marginata (Proteaceae). We found evidence of local adaptation (adaptive genetic variation) relating to plant growth investment strategies (plant height, total leaf area, and specific leaf area), with populations from drier climate-origins showing reduced investment in growth under water-limited conditions but greater growth in well-watered conditions. We also found that traits are coordinated to optimize conservation of water under water-limited conditions and that phenotypic integration does not constrain phenotypic plasticity. This study provides experimental basis for predicting future adaptive responses to climate change in this functionally important plant species.

1967086

Urban Drought

Urban plantings represent a mix of species from wide climate-origins growing in cities with varying environmental conditions. We explored the importance of species climate-origin and life-history for tree performance and tolerance under climate change. We found higher plasticity index for leaf traits and lower index for WD and canopy growth rate in exotic species than native species, which might indicate that the exotic species are able to adjust their leaf traits more to maintain the resource use to sustain the growth than native species in urban settings. Mesic origin species are more plastic than dry origin species.

1967087 1967088
Applied Research

Applied Research

Biodiversity Conservation

My research provides critical information to policy makers and land managers to predict areas vulnerable to drought along with adaptive strategies under climate change. “A scientific basis for assisted gene migration under climate change” and “Determining the physiological underpinnings of Eucalypt dieback in NSW” contributing to understanding the adaptive capacity in threatened species and ecosystems for the Department of Planning and Environment NSW (DPE) flagship Saving Our Species program. Working with DPE to engage the community in “The regreening of the Blue Mountains: Using citizen science to study post-fire recovery in the Blue Mountains”. Overall, I have developed a strong program of work with a high profile in conversation biology with specific outputs for policy and management of threatened species and ecological communities under climate change.

I was successful in leading a proposal for the development and implementation of a research strategy to support the DPE Cumberland Plain Conservation Plan. The four-year program of work with investigators contributing from across WSU (HIE, Institute for Culture and Society, School of Business), and broad engagement to support Indigenous leadership, this project will contribute to WSU mission for excellence and sustainability.

Cumberland Plain Research

Enhancing Cultural, Conservation and Restoration Outcomes in Western Sydney

The vision of this Research Strategy is to deliver high quality research on strategically important topics to support the effective delivery of the Conservation Plan. Research delivered under the strategy will greatly improve knowledge about Western Sydney’s threatened species and ecosystems and our ability to manage them, especially in the face of climate change and rapid development.

1967089

Urban Transformation

I have provided leadership in Green City initiatives with cutting edge research impacting the way we develop our urban environments to ensure they are liveable in the future. In the Horticulture Innovation Australia (HIA) Where Plant Where project I lead the research module quantifying the successes and failures in urban plantings across Australia. This work has impacted urban design, species selection, and management of green spaces through the development of a data-driven tool for government, industry, and the public to inform better species selection under future climates.

Building on my relationships with local and state government I have acquired funding in the DPE Greening our City – Green Innovation grants “Hawkesbury Urban Forest Experiment” and “Mitigating climate change in Western Sydney by maintaining green tree canopies”. This work provides a platform for research and training in urban transformation.

Lab Members

Lab Members

Master of Research and PhD research projects are available for qualified and enthusiastic students. Feel free to approach me if you are interested in pursuing research in any of the areas of investigation. Post-doctoral research candidates are invited to contact me about potential research projects.

Current Students

Katie Rolls

Katie Rolls

Katie Rolls

Victoria Martinez Perez

Victoria Martinez Perez

Victoria Martinez Perez

Osazee Oyanoghafo

Osazee Oyanoghafo

Osazee Oyanoghafo

Mohammad Kibria

Mohammad Kibria

Mohammad Kibria

Anne-Cecile Colin

Anne-Cecile Colin

Anne-Cecile Colin

Past Students

John Whale

Currently working at Edith Cowan University

https://www.westernsydney.edu.au/hie/people/postgraduate-students/current_postgraduate_students/john_whale

Desi Quintans

Currently working at Sydney University

https://www.westernsydney.edu.au/hie/people/postgraduate-students/graduates/desi_quintans

Anthea Challis

Currently working at Department of Climate Change, Energy, the Environment and Water

https://https://www.westernsydney.edu.au/hie/people/postgraduate-students/graduates/anthea_challis

Current Postgraduate Students

WSU Degree conferred Year completed Student name Thesis title
PhD 2022 Osazee Oyanoghafo Vulnerability and adaptive capacity of Proteaceae family to drought
PhD 2022 Mahmuda Sharmin Green accounting: evaluating the benefits of urban greening under future climates
PhD 2021 John Whale A scientific basis for assisted gene migration under climate change
PhD 2021 Lena Schmitt Selective floral enhancement of native flora for healthy and diverse pollinator populations in Australian agro-ecosystems under climate change
PhD 2020 Desi Quintans Will legume-insect specificity break down as the climate changes?
PhD 2020 Anthea Challis Genetic adaptation and phenotypic plasticity influence trait expression under heatwave and water deficit conditions in the foundation tree, Corymbia calophylla
PhD 2019 Elle McDonald The biological importance of individual variation in metabolic responses to environmental conditions
PhD 2019 Lisa Bromfield Individual strategies to cope with environmental change: a test of the pace-of-life syndrome hypothesis
PhD 2018 Daniel Creek Understanding the coordination of hydraulic strategies with other traits in determining plant survival under drought
PhD 2017 Mailie Gall Patterns of dispersal in the Tasman Sea and the south Pacific Ocean: population genetics and the role of environmental constraints
PhD 2016 Guomin Huang Differential response to climate change among populations for woody plant species: an ecological and physiological approach
Master of Research 2020 Corey O’Brien Effects of elevated CO2 on the reproductive performance and early life fitness of long-lived woody plant species
Master of Research 2018 Matias Simoes Genetic diversity and structure of moreton bay fig (Ficus macrophylla) in mainland Australia and lord howe island
Master of Research 2018 Soraya Outim Exploring the interactions between insect pollinators and native plants, across an altitudinal gradient in the Blue Mountains
Master of Research 2017 Katherine Rolls Species distribution limits and local adaptation in Acacia along an altitudinal gradient

Previous Postdocs

Collin Ahrens

Cesar Australia, Senior Scientist - Genetics

cesaraustralia.com

Manuel Esperon

Western Sydney University, Research Support Program Fellowship - Urban Transformation & Climate Change.

https://www.westernsydney.edu.au/hie/people/researchers/doctor-manuel-esperon

Publications

Publications

https://orcid.org/0000-0003-0988-4351

Google Scholar

Chapters in Books

  • Aspinwall, M., Juenger, T., Rymer, P., Tissue, D. and Rodgers, A. (2021), 'Intraspecific variation in plant responses to atmospheric CO2, temperature, and water availability', Photosynthesis, Respiration, and Climate Change, Springer 9783030649258.
  • Rossetto, M. and Rymer, P. (2013), 'Applications of molecular markers in plant conservation', Molecular Markers in Plants, Wiley & Sons 9780470959510.

Journal Articles

  • Ahrens CW, Murray K, Mazanec RA, Ferguson S, Jones A, Tissue DT, Byrne M, Borevitz JO, Rymer PD, (2024) 'Genomic determinants, architecture, and constraints in drought-related traits in Corymbia calophylla', BMC Genomics, vol.25, no.1, art no.640
  • Challis A, Rymer PD, Ahrens CW, Hardy G, Byrne M, Ruthrof KX, Tissue T, (2024) 'Environmental and genetic drivers of physiological and functional traits in a key canopy species', Environmental and Experimental Botany, vol.226, art no.105904
  • Kibria MG, Tjoelker MG, Marchin RM, Arndt SK, Rymer PD, (2024) 'Can species climate niche predict canopy growth, functional traits and phenotypic plasticity in urban trees?', Urban Forestry and Urban Greening, vol.98, art no.128417
  • Sharmin M, Tjoelker MG, Esperon-Rodriguez M, Katlav A, Gilpin AM, Rymer PD, Power SA, (2024) 'Urban greening with shrubs can supercharge invertebrate abundance and diversity', Scientific Reports, vol.14, no,1, art no.8735
  • Esperon-Rodriguez, M., Rymer, P., Power, S., Barton, D., Carinanos, P., Dobbs, C., Eleuterio, A., Escobedo, F., Hauer, R., Hermy, M., Jahani, A., Onyekwelu, J., Ostberg, J., Pataki, D., Randrup, T., Rasmussen, T., Roman, L., Russo, A., Shackleton, C., Solfjeld, I., van Doorn, N., Wells, M., Wistrom, B., Yan, P., Yang, J. and Tjoelker, M. (2022), 'Assessing climate risk to support urban forests in a changing climate', Plants People Planet, vol 4, no 3 , pp 201 - 213.
  • Pendall, E., Hewitt, A., Boer, M., Carrillo, Y., Glenn, N., Griebel, A., Middleton, J., Mumford, P., Ridgeway, P., Rymer, P. and Steenbeeke, G. (2022), 'Remarkable resilience of forest structure and biodiversity following fire in the peri-urban bushland of Sydney, Australia', Climate, vol 10, no 6 .
  • Challis, A., Blackman, C., Ahrens, C., Medlyn, B., Rymer, P. and Tissue, D. (2022), 'Adaptive plasticity in plant traits increases time to hydraulic failure under drought in a foundation tree', Tree Physiology, vol 42, no 4 , pp 708 - 721.
  • Filipe, J., Rymer, P., Byrne, M., Hardy, G., Mazanec, R. and Ahrens, C. (2022), 'Signatures of natural selection in a foundation tree along Mediterranean climatic gradients', Molecular Ecology, vol 31, no 6 , pp 1735 - 1752.
  • Andres, S., Powell, J., Rymer, P. and Emery, N. (2022), 'Fire severity and the post-fire soil environment affect seedling regeneration success of the threatened Persoonia hirsuta (Proteaceae)', Austral Ecology, vol 47, no 6 , pp 1248 - 1259.
  • Ahrens, C., Watson-Lazowski, A., Huang, G., Tissue, D. and Rymer, P. (2022), 'The roles of divergent and parallel molecular evolution contributing to thermal adaptive strategies in trees', Plant, Cell and Environment, vol 45, no 12 , pp 3476 - 3491.
  • Ahrens, C., Rymer, P. and Tissue, D. (2021), 'Intra-specific trait variation remains hidden in the environment', New Phytologist, vol 229, no 3 , pp 1183 - 1185.
  • Oyanoghafo, O., O'Brien, C., Choat, B., Tissue, D. and Rymer, P. (2021), 'Vulnerability to xylem cavitation of Hakea species (Proteaceae) from a range of biomes and life histories predicted by climatic niche', Annals of Botany, vol 127, no 7 , pp 909 - 918.
  • Ahrens, C., Jordan, R., Bragg, J., Harrison, P., Hopley, T., Bothwell, H., Murray, K., Steane, D., Whale, J., Byrne, M., Andrew, R. and Rymer, P. (2021), 'Regarding the F-word : the effects of data filtering on inferred genotype-environment associations', Molecular Ecology Resources, vol 21, no 5 , pp 1460 - 1474.
  • Ahrens, C., Challis, A., Byrne, M., Leigh, A., Nicotra, A., Tissue, D. and Rymer, P. (2021), 'Repeated extreme heatwaves result in higher leaf thermal tolerances and greater safety margins', New Phytologist, vol 232, no 3 , pp 1212 - 1225.
  • Esperon-Rodriguez, M., Power, S., Tjoelker, M., Prokopavicius, R. and Rymer, P. (2021), 'Contrasting heat tolerance of urban trees to extreme temperatures during heatwaves', Urban Forestry and Urban Greening, vol 66 .
  • Falster, D., Gallagher, R., Wenk, E., Wright, I., Indiarto, D., Andrew, S., Baxter, C., Lawson, J., Allen, S., Fuchs, A., Monro, A., Kar, F., Adams, M., Ahrens, C., Alfonzetti, M., Angevin, T., Apgaua, D., Arndt, S., Atkin, O., Atkinson, J., Auld, T., Baker, A., Von Balthazar, M., Bean, A., Blackman, C., Bloomfeld, K., Bowman, D., Bragg, J., Brodribb, T., Buckton, G., Burrows, G., Caldwell, E., Camac, J., Carpenter, R., Catford, J., Cawthray, G., Cernusak, L., Chandler, G., Chapman, A., Cheal, D., Cheesman, A., Chen, S., Choat, B., Clinton, B., Clode, P., Coleman, H., Cornwell, W., Cosgrove, M., Crisp, M., Cross, E., Crous, K., Cunningham, S., Curran, T., Curtis, E., Daws, M., DeGabriel, J., Denton, M., Dong, N., Du, P., Duan, H., Duncan, D., Duncan, R., Duretto, M., Dwyer, J., Edwards, C., Esperon-Rodriguez, M., Evans, J., Everingham, S., Farrell, C., Firn, J., Fonseca, C., French, B., Frood, D., Funk, J., Geange, S., Ghannoum, O., Gleason, S., Gosper, C., Gray, E., Groom, P., Grootemaat, S., Gross, C., Guerin, G., Guja, L., Hahs, A., Harrison, M., Hayes, P., Henery, M., Hochuli, D., Howell, J., Huang, G., Hughes, L., Huisman, J., Ilic, J., Jagdish, A., Jin, D., Jordan, G., Jurado, E., Kanowski, J., Kasel, S., Kellermann, J., Kenny, B., Kohout, M., Kooyman, R., Kotowska, M., Lai, H., Laliberte, E., Lambers, H., Lamont, B., Lanfear, R., Van Langevelde, F., Laughlin, D., Laugier-Kitchener, B., Laurance, S., Lehmann, C., Leigh, A., Leishman, M., Lenz, T., Lepschi, B., Lewis, J., Lim, F., Liu, U., Lord, J., Lusk, C., Macinnis-Ng, C., McPherson, H., Magallon, S., Manea, A., Lopez-Martinez, A., Mayfeld, M., McCarthy, J., Meers, T., Van der Merwe, M., Metcalfe, D., Milberg, P., Mokany , K., Moles, A., Moore, B., Moore, N., Morgan, J., Morris, W., Muir, A., Munroe, S., Nicholson, A., Nicolle, D., Nicotra, A., Niinemets, U., North, T., O?Reilly-Nugent, A., O?Sullivan, O., Oberle, B., Onoda, Y., Ooi, M., Osborne, C., Paczkowska, G., Pekin, B., Guilherme Pereira, C., Pickering, C., Pickup, M., Pollock, L., Poot, P., Powell, J., Power, S., Prentice, I., Prior, L., Prober, S., Read, J., Reynolds, V., Richards, A., Richardson, B., Roderick, M., Rosell, J., Rossetto, M., Rye, B., Rymer, P., Sams, M., Sanson, G., Sauquet, H., Schmidt, S., Schonenberger, J., Schulze, E., Sendall, K., Sinclair, S., Smith, B., Smith, R., Soper , F., Sparrow, B., Standish, R., Staples, T., Stephens, R., Szota, C., Taseski, G., Tasker, E., Thomas, F., Tissue, D., Tjoelker, M. and et al, .. (2021), 'AusTraits : a curated plant trait database for the Australian flora', Scientific Data, vol 8, no 1 .
  • Flores-Renteria, L., Rymer, P., Ramadoss, N. and Riegler, M. (2021), 'Major biogeographic barriers in eastern Australia have shaped the population structure of widely distributed Eucalyptus moluccana and its putative subspecies', Ecology and Evolution, vol 11, no 21 , pp 14828 - 14842.
  • Andres, S., Powell, J., Emery, N., Rymer, P. and Gallagher, R. (2021), 'Does threatened species listing status predict climate change risk? : a case study with Australian Persoonia (Proteaceae) species', Global Ecology and Conservation, vol 31, no 6 .
  • Ahrens, C., Andrew, M., Mazanec, R., Ruthrof, K., Challis, A., Hardy, G., Byrne, M., Tissue, D. and Rymer, P. (2020), 'Plant functional traits differ in adaptability and are predicted to be differentially affected by climate change', Ecology and Evolution, vol 10, no 1 , pp 232 - 248.
  • Jiang, M., Medlyn, B., Drake, J., Duursma, R., Anderson, I., Barton, C., Boer, M., Carrillo, Y., Castaneda-Gomez, L., Collins, L., Crous, K., De Kauwe, M., Santos, B., Emerson, K., Facey, S., Gherlenda, A., Gimeno, T., Hasegawa, S., Johnson, S., Kannaste, A., Macdonald, C., Mahmud, K., Moore, B., Nazaries, L., Neilson, E., Nielsen, U., Niinemets, U., Noh, N., Ochoa-Hueso, R., Pathare, V., Pendall, E., Pihlblad, J., Pineiro, J., Powell, J., Power, S., Reich, P., Renchon, A., Riegler, M., Rinnan, R., Rymer, P., Salomon, R., Singh, B., Smith, B., Tjoelker, M., Walker, J., Wujeska-Klause, A., Yang, J., Zaehle, S. and Ellsworth, D. (2020), 'The fate of carbon in a mature forest under carbon dioxide enrichment', Nature, vol 580 , pp 227 - 231.
  • Asao, S., Hayes, L., Aspinwall, M., Rymer, P., Blackman, C., Bryant, C., Cullerne, D., Egerton, J., Fan, Y., Innes, P., Millar, A., Tucker, J., Shah, S., Wright, I., Wright, I., Yvon-Durocher, G., Tissue, D. and Atkin, O. (2020), 'Leaf trait variation is similar among genotypes of Eucalyptus camaldulensis from differing climates and arises as plastic response to season rather than water availability', New Phytologist, vol 227, no 3 , pp 780 - 793.
  • Esperon-Rodriguez, M., Rymer, P., Power, S., Challis, A., Prokopavicius, R. and Tjoelker, M. (2020), 'Functional adaptations and trait plasticity of urban trees along a climatic gradient', Urban Forestry and Urban Greening, vol 54 .
  • Tierney, D., Ahrens, C., Rymer, P. and Auld, T. (2020), 'The interaction of clonality, breeding system and genomics for a highly threatened plant species and the management implications', Biodiversity and Conservation, vol 29 , pp 3009 - 3029.
  • Ahrens, C., James, E., Miller, A., Scott, F., Aitken, N., Jones, A., Lu-Irving, P., Borevitz, J., Cantrill, D. and Rymer, P. (2020), 'Spatial, climate and ploidy factors drive genomic diversity and resilience in the widespread grass Themeda triandra', Molecular Ecology, vol 29, no 20 , pp 3872 - 3888.
  • Schmidt, L., Gilpin, A., Cook, J., Rymer, P., Gibson-Roy, P., Craigie, S. and Power, S. (2020), 'Restoration of native wildflower patches in agronomic settings for diverse and healthy pollinator populations', Australasian Plant Conservation, vol 28, no 4 , pp 17 - 19.
  • Aspinwall, M., Pfautsch, S., Tjoelker, M., Varhammar, A., Possell, M., Drake, J., Reich, P., Tissue, D., Atkin, O., Rymer, P., Dennison, S. and Van Sluyter, S. (2019), 'Range size and growth temperature influence Eucalyptus species responses to an experimental heatwave', Global Change Biology, vol 25, no 5 , pp 1665 - 1684.
  • Hoffmann, A., Rymer, P., Byrne, M., Ruthrof, K., Whinam, J., McGeoch, M., Bergstrom, D., Guerin, G., Sparrow, B., Joseph, L., Hill, S., Andrew, N., Camac, J., Bell, N., Riegler, M., Gardner, J. and Williams, S. (2019), 'Impacts of recent climate change on terrestrial flora and fauna : some emerging Australian examples', Austral Ecology, vol 44, no 1 , pp 3 - 27.
  • Li, X., Blackman, C., Choat, B., Rymer, P., Medlyn, B. and Tissue, D. (2019), 'Drought tolerance traits do not vary across sites differing in water availability in Banksia serrata (Proteaceae)', Functional Plant Biology, vol 46, no 7 , pp 624 - 633.
  • Li, X., Blackman, C., Peters, J., Choat, B., Rymer, P., Medlyn, B. and Tissue, D. (2019), 'More than iso/anisohydry : hydroscapes integrate plant water use and drought tolerance traits in 10 eucalypt species from contrasting climates', Functional Ecology, vol 33, no 6 , pp 1035 - 1049.
  • Hewitt, A., Rymer, P., Holford, P., Morris, C. and Renshaw, A. (2019), 'Evidence for clonality, breeding system, genetic diversity and genetic structure in large and small populations of Melaleuca deanei (Myrtaceae)', Australian Journal of Botany, vol 67, no 1 , pp 36 - 45.
  • Ahrens, C., Byrne, M. and Rymer, P. (2019), 'Standing genomic variation within coding and regulatory regions contributes to the adaptive capacity to climate in a foundation tree species', Molecular Ecology, vol 28, no 10 , pp 2502 - 2516.
  • Ahrens, C., Mazanec, R., Paap, T., Ruthrof, K., Challis, A., Hardy, G., Byrne, M., Tissue, D. and Rymer, P. (2019), 'Adaptive variation for growth and resistance to a novel pathogen along climatic gradients in a foundation tree', Evolutionary Applications, vol 12, no 6 , pp 1178 - 1190.
  • Esperon-Rodriguez, M., Power, S., Tjoelker, M., Beaumont, L., Burley, H., Caballero-Rodriguez, D. and Rymer, P. (2019), 'Assessing the vulnerability of Australia's urban forests to climate extremes', Plants, People, Planet, vol 1, no 4 , pp 387 - 397.
  • Blackman, C., Li, X., Choat, B., Rymer, P., De Kauwe, M., Duursma, R., Tissue, D. and Medlyn, B. (2019), 'Desiccation time during drought is highly predictable across species of Eucalyptus from contrasting climates', New Phytologist, vol 224, no 2 , pp 632 - 643.
  • Li, X., Blackman, C., Choat, B., Duursma, R., Rymer, P., Medlyn, B. and Tissue, D. (2018), 'Tree hydraulic traits are coordinated and strongly linked to climate-of-origin across a rainfall gradient', Plant Cell and Environment, vol 41, no 3 , pp 646 - 660.
  • Hasegawa, S., Pineiro Nevado, J., Ochoa Hueso, C., Haigh, A., Rymer, P., Barnett, K. and Power, S. (2018), 'Elevated CO2 concentrations reduce C4 cover and decrease diversity of understorey plant community in a Eucalyptus woodland', Journal of Ecology, vol 106, no 4 , pp 1483 - 1494.
  • Ahrens, C., Rymer, P., Stow, A., Bragg, J., Dillon, S., Umbers, K. and Dudaniec, R. (2018), 'The search for loci under selection : trends, biases and progress', Molecular Ecology, vol 27, no 6 , pp 1342 - 1356.
  • Aspinwall, M., Blackman, C., Resco de Dios, V., Busch, F., Rymer, P., Loik, M., Drake, J., Pfautsch, S., Smith, R., Tjoelker, M. and Tissue, D. (2018), 'Photosynthesis and carbon allocation are both important predictors of genotype productivity responses to elevated CO2 in Eucalyptus camaldulensis', Tree Physiology, vol 38, no 9 , pp 1286 - 1301.
  • Li, X., Blackman, C., Rymer, P., Quintans, D., Duursma, R., Choat, B., Medlyn, B. and Tissue, D. (2018), 'Xylem embolism measured retrospectively is linked to canopy dieback in natural populations of Eucalyptus piperita following drought', Tree Physiology, vol 38, no 8 , pp 1193 - 1199.
  • Fromont, C., Rymer, P., Riegler, M. and Cook, J. (2018), 'An ancient and a recent colonization of islands by an Australian sap-feeding insect', Journal of Biogeography, vol 45, no 10 , pp 2389 - 2399.
  • Blackman, C., Aspinwall, M., Tissue, D. and Rymer, P. (2017), 'Genetic adaptation and phenotypic plasticity contribute to greater leaf hydraulic tolerance in response to drought in warmer climates', Tree Physiology, vol 37, no 5 , pp 583 - 592.
  • Flores Renteria, L., Rymer, P. and Riegler, M. (2017), 'Unpacking boxes: Integration of molecular, morphological and ecological approaches reveals extensive patterns of reticulate evolution in box eucalypts', Molecular Phylogenetics and Evolution, vol 108 , pp 70 - 87.
  • Caddy-Retalic, S., Andersen, A., Aspinwall, M., Breed, M., Byrne, M., Christmas, M., Dong, N., Evans, B., Fordham, D., Guerin, G., Hoffmann, A., Hughes, A., Van Leeuwen, S., McInerney, F., Prober, S., Rossetto, M., Rymer, P., Steane, D., Wardle, G. and Lowe, A. (2017), 'Bioclimatic transect networks : powerful observatories of ecological change', Ecology and Evolution, vol 7, no 13 , pp 4607 - 4619.
  • Aspinwall, M., Varhammar, A., Blackman, C., Tjoelker, M., Ahrens, C., Byrne, M., Tissue, D. and Rymer, P. (2017), 'Adaptation and acclimation both influence photosynthetic and respiratory temperature responses in Corymbia calophylla', Tree Physiology, vol 37, no 8 , pp 1095 - 1112.
  • Rymer, P., Sandiford, M., Harris, S., Billingham, M. and Boshier, D. (2015), 'Remnant Pachira quinata pasture trees have greater opportunities to self and suffer reduced reproductive success due to inbreeding depression', Heredity, .
  • Drake, J., Aspinwall, M., Pfautsch, S., Rymer, P., Reich, P., Smith, R., Crous, K., Tissue, D., Ghannoum, O. and Tjoelker, M. (2015), 'The capacity to cope with climate warming declines from temperate to tropical latitudes in two widely distributed Eucalyptus species', Global Change Biology, vol 21, no 1 , pp 459 - 472.
  • Huang, G., Rymer, P., Duan, H., Smith, R. and Tissue, D. (2015), 'Elevated temperature is more effective than elevated [CO2] in exposing genotypic variation in Telopea speciosissima growth plasticity : implications for woody plant populations under climate change', Global Change Biology, vol 21, no 10 , pp 3800 - 3813.
  • Gall, M., Rymer, P., Edgar, G., Byrne, M. and Holmes, S. (2014), 'Characterisation of thirteen polymorphic microsatellite markers for the red sea urchin Heliocidaris tuberculata (Lamarck, 1816) developed using a 454-sequencing approach', Conservation Genetic Resources, vol 6, no 3 , pp 237 - 239.
  • Rymer, P., Harris, S. and Boshier, D. (2014), 'Isolation and characterization of microsatellite markers for the neotropical tree, Pachira quinata (Malvaceae)', Conservation Genetics Resources, vol 6, no 2 , pp 375 - 382.
  • McPherson, H., Van der Merwe, M., Delaney, S., Edwards, M., Henry, R., McIntosh, E., Rymer, P., Milner, M., Siow, J. and Rossetto, M. (2013), 'Capturing chloroplast variation for molecular ecology studies : a simple next generation sequencing approach applied to a rainforest tree', BMC Ecology, vol 13, no 8 , pp 1 - 11.
  • Rymer, P., Dick, C., Vendramin, G., Buonamici, A. and Boshier, D. (2013), 'Recent phylogeographic structure in a widespread 'weedy' Neotropical tree species, Cordia alliodora (Boraginaceae)', Journal of Biogeography, vol 40, no 4 , pp 693 - 706.
  • Rymer, P., Manning, J., Goldblatt, P., Powell, M. and Savolainen, V. (2010), 'Evidence of recent and continuous speciation in a biodiversity hotspot : a population genetic approach in southern African gladioli (Gladiolus; Iridaceae)', Molecular Ecology, vol 19, no 21 , pp 4765 - 4782.
  • Rymer, P., Johnson, S. and Savolainen, V. (2010), 'Pollinator behaviour and plant speciation : can assortative mating and disruptive selection maintain distinct floral morphs in sympatry?', The New Phytologist, vol 188, no 2 , pp 426 - 436.
  • Audigeos, D., Buonamici, A., Belkadi, L., Rymer, P., Boshier, D., Scotti-Saintagne, C. and Vendramin, G. (2010), 'Aquaporins in the wild : natural genetic diversity and selective pressure in the PIP gene family in five Neotropical tree species', BMC Evolutionary Biology, vol 10, no 1 , pp 202 - 202.
  • Korbecka, G., Rymer, P., Harris, S. and Pannell, J. (2010), 'Solving the problem of ambiguous paralogy for marker loci : microsatellite markers with diploid inheritance in allohexaploid Mercurialis annua (Euphorbiaceae)', Journal of Heredity, vol 101, no 4 , pp 504 - 511.
  • Yakimowski, S., Rymer, P., Stone, H., Dorken, M. and Barrett, S. (2009), 'Isolation and characterization of 11 microsatellite markers from Sagittaria latifolia (Alismataceae)', Molecular Ecology Resources, vol 9, no 2 , pp 579 - 581.
  • Mcpherson, H., Porter, C., Rymer, P., Crayn, D. and Rossetto, M. (2008), 'Isolation and characterization of polymorphic microsatellite loci from Tetratheca ericifolia (Elaeocarpaceae)', Molecular Ecology Resources, vol 8, no 4 , pp 867 - 869.
  • Rossetto, M., Crayn, D., Ford, A., Ridgeway, P. and Rymer, P. (2007), 'The comparative study of range-wide genetic structure across related, co-distributed rainforest trees reveals contrasting evolutionary histories', Australian Journal of Botany, vol 55, no 4 , pp 416 - 424.
  • Porter, C., Rymer, P. and Rossetto, M. (2006), 'Isolation and characterization of microsatellite markers for the waratah, Telopea speciosissima (Proteaceae)', Molecular Ecology Notes, vol 6, no 2 , pp 446 - 448.
  • Rymer, P. and Ayre, D. (2006), ') Does genetic diversity and gene flow vary with rarity in obligate seeding Persoonias (Proteaceae)?', Conservation Genetics, vol 7, no 6 , pp 919 - 930.
  • Rymer, P. (2006), 'Are seed dispersal and predation in fire-sensitive shrubs associated with rarity?', International Journal of Plant Sciences, vol 167, no 6 , pp 1151 - 1160.
  • Rymer, P., Whelan, R., Ayre, D., Weston, P. and Russell, K. (2005), 'Reproductive success and pollinator effectiveness differ in common and rare Persoonia species (Proteaceae).', Biological Conservation, vol 123 , pp 521 - 532.
  • Rymer, P., Morris, C. and Richardson, B. (2002), 'The breeding system and population genetics of the vulnerable plant Dillwynia tenuifolia (Fabaceae).', Austral Ecology, vol 27 , pp 241 - 248.

Other Publications

  • 2016, 'Climate Change Impacts on Genetically Differentiated Telopea speciosissima (NSW Waratah) Coastal and Upland Populations', Report
Grants

Grants and Projects

Title: Pollinators in native seed production areas
Partner/Funder:
  • Greening Australia Ian Potter Foundation Grant
Co-Researchers: James Cook
Period: 2024
Title: Considering biodiversity in natural product supply chains
Partner/Funder:
  • Blackmores Group
Co-Researchers: Rachael Gallagher, Ben Smith
Period: 2023
Title: Conservation management of clonal and exceptional species, Persoonia hindii
Funder:
  • NSW Department of Planning & Environment
Western Researchers: Paul Rymer
Years: 2022-03-28 - 2024-06-30
ID: P00027829
Title: Determining the physiological underpinnings of Eucalypt dieback in NSW
Funder:
  • NSW Environmental Trust (ACRG)
Western Researchers: Brendan Choat, Belinda Medlyn, Sebastian Pfautsch, Rachael Nolan, Matthias Boer, David Tissue, Paul Rymer and Mark Tjoelker
Years: 2021-06-18 - 2024-02-01
ID: P00027031
Title: Cumberland Plain Conservation Plan - Research Strategy and Implementation
Funder:
  • Department of Planning and Environment
Western Researchers: Paul Rymer, Uffe Nielsen, Jeff Powell, Yolima Carrillo Espanol, Catriona Macdonald, Matthias Boer, Elise Pendall, Rachael Nolan, Ben Moore, Markus Riegler, Juan Francisco Salazar Sutil and Neil Perry
Years: 2021-05-01 - 2025-02-28
ID: P00027309
Title: Mitigating climate change in Western Sydney by maintaining green tree canopies [via WSROC]
Funder:
  • Department of Planning and Environment
Western Researchers: Paul Rymer, Mark Tjoelker and Renee Prokopavicius
Years: 2021-10-05 - 2022-11-30
ID: P00026894

Previous Projects

Title: Genetic issues in seed production for ecological restoration
Funder:
  • Greening Australia (NSW) Ltd
  • University of Western Sydney
Western Researchers: Paul Rymer
Years: 2012-11-13 - 2015-02-28
ID: P00021180
Title: Moreton Bay fig: distribution of native genetic variation and threats from cultivation
Funder:
  • Australian Flora Foundation Incorporated
Western Researchers: Paul Rymer, James Cook and Jane Degabriel
Years: 2014-10-17 - 2020-11-30
ID: P00022051
Title: Psyllid-induced dieback of Grey Box (Eucalyptus moluccana) on the Cumberland Plain
Funder:
  • NSW Environmental Trust (non ACRG)
  • Royal Botanic Gardens and Domain Trust
Western Researchers: Markus Riegler, James Cook, Ben Moore and Paul Rymer
Years: 2013-06-26 - 2017-01-31
ID: P00021691
Title: Adaptive capacity of Corymbia calophylla to future temperature extremes
Funder:
  • University of Western Sydney
  • Department of Parks and Wildlife
Western Researchers: Paul Rymer
Years: 2013-09-03 - 2015-04-30
ID: P00021700
Title: Genotypic and chemotypic diversity of Eucalyptus moluccana and its role in psyllid caused dieback
Funder:
  • Bjarne K Dahl Trust
Western Researchers: Markus Riegler, Ben Moore and Paul Rymer
Years: 2013-01-02 - 2015-04-30
ID: P00021187
Title: Adaptive capacity to climate change in rare woody plants: a comparative framework testing model predictions
Funder:
  • NSW Office of Environment and Heritage
Western Researchers: Paul Rymer and Collin Ahrens
Years: 2018-10-30 - 2022-03-28
ID: P00025177
Title: Identifying regions of high drought mortality risk for tree species in NSW [via Macquarie Uni]
Funder:
  • Australian Research Council (ACRG)
Western Researchers: Belinda Medlyn, David Tissue, Remko Duursma, Paul Rymer and Mark Tjoelker
Years: 2015-02-23 - 2018-12-31
ID: P00022312
Title: Healthy bee populations for sustainable pollination in horticulture
Funder:
  • Bayer Australia Limited
  • Syngenta Australia Pty Ltd
  • University of Western Sydney
  • Horticulture Innovation Australia (non ACRG)
Western Researchers: James Cook, Markus Riegler, Robert Spooner-Hart, Sally Power, Paul Rymer, Ian Anderson, Brajesh Singh and Catriona Macdonald
Years: 2016-06-27 - 2021-07-26
ID: P00023560
Title: Systematics and conservation status of Australian monsoonal Rocket Frogs (Litoria) and Ornate Burrowing Frogs (Platyplectrum) for bioregional planning
Funder:
  • Australian Museum
  • Australian Biological Resources Study (ACRG)
Western Researchers: Paul Rymer
Years: 2017-07-01 - 2021-10-31
ID: P00023755
Title: Searching for adaptive variation in a foundational Eucalypt in Western Australia
Funder:
  • Eucalypt Australia
Western Researchers: Collin Ahrens and Paul Rymer
Years: 2018-02-22 - 2019-02-21
ID: P00024701
Title: Do hotter and drier regions harbour adaptive variation for climate change?
Funder:
  • Australian Research Council (ACRG)
  • Murdoch University
  • Department of Parks and Wildlife
  • Forest Products Commission
Western Researchers: Paul Rymer and David Tissue
Years: 2016-01-12 - 2020-01-11
ID: P00022493
Title: Which plant where, when and why database for growing urban green space (Green Cities Project) [via Macquarie Uni]
Funder:
  • Horticulture Innovation Australia (ACRG)
  • University of Western Sydney
Western Researchers: David Ellsworth, Ian Anderson, Sally Power, Mark Tjoelker and Paul Rymer
Years: 2016-06-30 - 2021-08-30
ID: P00023661
Title: A scientific basis for assisted gene migration under climate change
Funder:
  • NSW Environmental Trust (ACRG)
Western Researchers: Paul Rymer and David Tissue
Years: 2017-03-02 - 2021-03-02
ID: P00023346
Title: Physiological tolerance in Corymbia calophylla trees across provenances in response to drought and heat wave conditions
Funder:
  • Ecological Society of Australia
Western Researchers: David Tissue and Paul Rymer
Years: 2017-09-28 - 2019-09-30
ID: P00024561
Title: Adaptive genetic variation for environmental change in long-lived clonal plants
Funder:
  • Office of Environment and Heritage
Western Researchers: Paul Rymer
Years: 2017-05-29 - 2019-04-30
ID: P00024373
Title: Climate change impacts on different plant functional groups along a steep natural environmental gradient
Funder:
  • University of Western Sydney
Western Researchers: Paul Rymer and David Tissue
Years: 2011-09-13 - 2012-09-12
ID: P00020430
Title: Vulnerability and Adaptive capacity of Proteaceae family to climate-induced drought (Osazee Oyanoghafo)
Funder:
  • Ecological Society of Australia
Western Researchers: Paul Rymer
Years: 2019-07-01 - 2021-06-30
ID: P00025784
Title: High-throughput sample preparation robotics to enable emerging large-scale plant genomics, metabolomics and proteomics research [via ANU - no funding to UWS]
Funder:
  • Australian Research Council (Other Research Grants)
Western Researchers: David Tissue, David Ellsworth, Ben Moore, Markus Riegler and Paul Rymer
Years: 2013-05-01 - 2014-04-30
ID: P00020980
Title: The regreening of the Blue Mountains: Using citizen science to study post-fire recovery in the Blue Mountains
Funder:
  • Department of Planning and Environment
Western Researchers: Belinda Medlyn, Paul Rymer, Sally Power, Brendan Choat, Rachael Nolan, Amy-Marie Gilpin, Uffe Nielsen, Matthias Boer, Kate Umbers and Ben Moore
Years: 2021-05-01 - 2022-06-30
ID: P00027295
Title: Adaptive capacity of widespread and threatened Acacia species to climate change
Funder:
  • STEP Inc. Community-based Environmental Conservation
Western Researchers: Paul Rymer
Years: 2018-05-05 - 2021-05-25
ID: P00025007
Title: Quantifying adaptive capacity to climate change through a multi-faceted approach: habitat suitability, functional traits, physiological tolerance and genetic adaptation.
Funder:
  • NSW Office of Environment and Heritage
  • NSW Office of Environment and Heritage
Western Researchers: Paul Rymer, David Tissue, Brendan Choat and Belinda Medlyn
Years: 2018-04-01 - 2022-03-28
ID: P00024910
Title: Climate change impacts on genetically differentiated Telopea speciosissima (NSW Waratah) coastal and upland populations
Funder:
  • Australian Flora Foundation Incorporated
Western Researchers: Paul Rymer and David Tissue
Years: 2012-05-01 - 2014-02-28
ID: P00020921
Title: Do hotter and drier regions harbour adaptive variation for climate change?
Funder:
  • Department of Biodiversity, Conservation and Attractions (Government of Western Australia)
Western Researchers: Paul Rymer
Years: 2019-07-01 - 2020-10-02
ID: P00025916
Title: Drought incidence, regeneration strategy and functional traits
Funder:
  • Ecological Society of Australia
Western Researchers: Paul Rymer
Years: 2020-10-19 - 2021-07-13
ID: P00026839
Research

Research

My work combines classical and novel ecological and molecular techniques to address outstanding questions in evolutionary ecology. My research focuses on the ecology and evolution of organisms in natural populations, in particular plant-animal interactions, mating patterns, hybridisation and local adaptation, and how these factors drive and erode species diversity. My research is applied to understanding the origin of biodiversity, the evolution of invasiveness, and adaptation to climate change.

Fields Of Research

BIOLOGICAL SCIENCES

Ecology: Community Ecology, Ecological physiology, Population Ecology, Terrestrial ecology

Evolutionary biology: Biogeography and phylogeography, Biological adaptation, Evolutionary ecology, Evolutionary impacts of climate change, Life histories, Phylogeny and comparative analysis, Speciation and extinction

Genetics: Gene expression, Gene mapping, Genome structure and regulation, Genomics, Molecular evolution

ENVIRONMENTAL SCIENCES

Climate change impacts and adaptation: Ecological impacts of climate change and ecological adaptation

Ecological applications: Ecosystem function, Ecosystem services (incl. pollination), Fire ecology, Landscape ecology

Environmental management: Conservation and biodiversity, Environmental assessment and monitoring, Environmental management, Environmental rehabilitation and restoration

Socio-Economic Objectives

ENVIRONMENTAL MANAGEMENT

Terrestrial systems and management

ENVIRONMENTAL POLICY, CLIMATE CHANGE AND NATURAL HAZARDS

Adaptation to climate change, Mitigation of climate change, Natural hazards, Understanding climate change

PLANT PRODUCTION AND PLANT PRIMARY PRODUCTS

Forestry

UN Sustainability Goals

My research supports the United Nations Sustainable Development Goals

1967095

1967096

1967097

1967098

1967099

1967100

Teaching

Teaching

Climate Change and Biodiversity Conservation BIOS3037

Ecosystem Restoration ENVL2009

Evolution & Genetics BIOS3026

Environmental Monitoring and Assessment ENVL2007

Introduction to Environmental Science ENVL1004

Australian Ecosystems ENVL2008

https://studenthandbook.westernsydney.edu.au/

Undergraduate research projects supported through Advanced Science Project NATS3004, Field Project NATS3015, internships and summer/winter scholarships

Masters of Research and PhD candidates are encouraged to contact me regarding current opportunities. Please also check the details on the Graduate School of Research webpage.

https://www.westernsydney.edu.au/future/study/courses/research/master-of-research

https://www.westernsydney.edu.au/future/study/courses/research/doctor-of-philosophy

https://www.westernsydney.edu.au/schools/grs/scholarships

Contact

Contact

If you are interested in discussing research, teaching or engagement opportunities please email

P.Rymer@westernsydney.edu.au

-----------------------------------------------------------------

Dr Paul Rymer| Senior Lecturer in Ecological Genetics

Hawkesbury Institute for the Environment

Western Sydney University

Hawkesbury Campus

Locked Bag 1797 Penrith NSW 2751 Australia

https://www.westernsydney.edu.au/hie

-----------------------------------------------------------------

Office

Western Sydney University

Hawkesbury Campus

Building L3

Room G.11

-----------------------------------------------------------------

I acknowledge that this work was conducted on the country of the Boorooberongal People of the Darug Nation and acknowledge their ancestors who have been Traditional Owners of their country for tens of thousands of years. I also acknowledge and pay my respect to Elders past and present.

People

Researchers

Research Fellows

Institute Professional Staff

Postgraduate Students

Advisory Board

Leadership

School Based Researchers

Honorary and Adjunct Appointments

Eucalyptus Leaf